Pages

Wednesday, October 21, 2020

Electric Charge and Coulomb's Law

Electrostatics

Electrostatics is that branch of physics in which we study about stationary charges and their effect.

Electric Charge

Charge is the property associated with matter due to which it produces and experiences electrical and magnetic effect.

Important fact about charge

1. There are only two types of electric charge

 (i) Positive Charge

(ii) Negative Charge

2. It is known that every atom is electrically neutral, containing as many electrons as the number of proton in the nucleus.

Charged particles can be created by disturbing neutrality of the atom . Loss of electron gives positive charge and the gain of electrons gives negative charge to a particle.   

3. Charges with the same electrical sign repel each other, and charges with opposite electrical sign attract each other.

A charged body may attract a neutral body or an oppositely charged body but it always repels similarly charged body. Hence repulsion is a sure test of electrification. 

4. A charged particle at rest produces an electric field around it, while a moving charge produces electric and magnetic fields around it. Accelerated charge radiate energy.   

5. Charges resides on the outer surface of a conductor. This is because like charges repel one another and try to stay at the greatest distance from one another. This explains why a soap bubble expands on charging . 

Unit and Dimensional Formula

Electric Current (i) = charge(q)/time (t) 

Charge = Electric current X time 

SI unit of Charge :- Ampere X Second  = Coulomb(C)

CGS Unit of Charge - Stat Coulomb Or esu

 1 Coulomb  = 3 X 109 Stat. Coulomb

Electromagnetic Unit of Charge = ab coulomb

1 Coulomb  = 1/10 ab Coulomb

Of all the unit of charge, the frankline is the smallest and the faraday is the largest.

                1 Faraday  = 96500 Coulomb

Dimensional Formula

 [Q] = [IT] or [AT]

Properties of Charge

  1. Charge is a scalar quantity. They can be added  algebraically.
  2. Charge can be transferred from one body to another.
  3. Charges cannot exist without mass, through mass can exist without net charge.
  4. Charge can neither be created nor destroyed, so that the total charge of an isolated system is always conserved.
  5. The charge on body does not change with its speed, so it is independent of the frame of reference. 
  6.  Charge is quantized i.e charge on a body is integral multiple of basic charge (Charge on 1 electron)

                                Q = ± ne, Where  n = 1,2,3,………

                                                e = - 1.6 x 10-19 C    

The number of electron taken out from a body to produce 1 coulomb of charge will be 6.25 X 1018

 Method of charging

A body can be charged by following methods.

1. By friction

                By rubbing two bodies together, both positive and negative charges in equal amount appears simultaneously due to transfer of electron from one body to another.

      (i)  When a glass rod is rubbed with silk, the rod becomes positively charged while silk becomes negatively charged.

In the following electrostatics series, if two bodies are rubbed together, the body which appears earlier will be charged positively and one which appears later will be charged negatively.








Fur          glass          silk          human body          cotton           wool          sealing wax          amber         resin      Sulphur       rubber        ebonite 



2. By Conduction

Take two conductors, One charged and other uncharged. Bring the conductors in contact with each other. The charge (whether –ve or + ve) under its own repulsion will spread over both the conductors . Thus the conductor will be charged with the same sign. This is called as charging by conduction.  

3. By Electrostatics induction

If a charged body is brought near an uncharged body, one side of neutral body (closer to charged body ) becomes oppositely charged while the other side becomes similarly charged.   

Electroscope is an apparatus by which the presence of electric charge on a body is detected.

Point Charge  

it is a point where all the charge of the body is concentrated.

Or,

A finite size body may behave like a point charge if it produces an inverse square electric field.

Coulombs's Law  

the force of attraction or repulsion between two point charges is directly proportional to the product of their magnitude and inversely proportional to the square of distance between them. It always acts along the line joining two charges.

Suppose two point charges Q1 and Q are separated in vacuum or air by a distance r.

 






In CGS system (For air or vacuum)

K= 1



In SI System 

where ε0 = Absolute permittivity of free space 

ε0= 8.85 X 10-12 C2

Dimension of ε0

[ε0] = [M-1L-3T4I2]

If the charges are situated in a medium 

then, 

        
where ε is known as absolute permittivity of the intervening medium.
Dielectric Constant (K)

Force in a medium, 
where ε  is electrical permittivity of the medium 

Force in vacuum, 

Fa/Fm = ε/ε0 = εr or K 

Where εr or K is called dielectric constant or relative electrical permittivity of the medium.

Dielectric constant of the medium is the ratio of absolute permittivity of the medium to the electrical permittivity of the free space. 

Force between two given charges in a medium (K) is only 1/K times of the force between them in air/vacuum.  

value of εor k 
for air/ vacuum - 1
for water - 80
for metal - ∞
  • Coulomb's Law holds good only for point charges.
  • Coulomb force is conservative.
  • Coulomb force is central force.
Limitation of Coulomb's Law
  • Coulomb's Law is valid only when the separation between charges is greater than 10-15 m
  • The distance between the two point charges must remain constant.
  • The charges should not radiate energy, i.e they should not be accelerated.
Coulomb's Law in Vector Form




The force exerted by two point charges on each other are equal and opposite.

Principle of  Superposition

If there are a number of point charges then the force on a particular charge due to all the other charges is given by the vector sum of the forces exerted on it by all the other charges.


Charge Distribution

It may be of two types

1. Discrete distribution of charge

A system consisting of ultimate individual charges.

2. Continuous distribution of charge

An amount of charge distributes uniformly on a body.

It is of following three types :-

(a) Linear Charge Distribution
    
Charge on line e.g. Charged straight wire, circular charged ring e.t.c  

Linear charge density :- 
It is  defined as the amount of charge per unit length of a body . 




(b) Surface Charge Distribution:

Charge distributed on a surface. e.g Plane sheet of charge, Conducting sphere, Conducting sphere.

Surface Charge Density:-

It is defined as the amount of charge per unit surface area of the body.




(C) Volume Charge Distribution

Charge distributed through out the volume of the body.e.g charge on dielectric sphere.
Volume Charge Density

It is defined as the amount of charge per unit volume of a body .






Electric Field

The space around a charge in which another charge particle experiences a force is said to have electric field in it.

Electric Field Intensity

The electric field intensity at any point is defined as the force experienced by a unit positive charge placed at that point.


Unit - N/C (Newton per Coulomb)

Dimension[ MLT-3A-1]

Electric Field intensity is a Vector quantity. Electric field due to positive charge is always away from the charge and that due to negative charge is always towards the charge.



Relation between electric force and electric field 

In an electric field E a charge Q experiences a force F= QE. If charge is positive then force is directed in the direction of field while if charge is negative force acts on it in the opposite direction of field. 

Electric Field Intensity due to a point charge

Consider a point charge q placed at point O in space.
To find its intensity at a point P at a distance r from the point charge we place a test charge q0. 
According to coulomb's Law,
 
Electric field intensity at point P
Superposition of Electric field

The electric field intensity at a point due to a system of charges is the vector sum of the electric fields at the point due to individual charges.
Electric lines of force or Electric filed lines

Electric field lines is an imaginary line along which a positive test charge will move if left free.

Properties of electric lines of force

1. Electric field lines comes out of positive charge and go into the negative charge.

2. Tangent to the field lines at any point gives the direction of the field at that point.

3. No two electric field lines of force can intersect each other. This is because at the point of intersection, we can draw two tangent. This would mean two direction of electric field intensity at the same point, which is not possible.

4. Fields line are always normal to conducting surface.

5. Field lines do not exist inside a conductor.

6. The electric field lines never form closed loop.

7. If the lines of force are equidistant and parallel straight lines, the field is uniform and if either , lines of force are not equidistant or straight line or both, the field will be non uniform.

8. The density of field lines is proportional to the strength of electric field.   

Electric Dipole   

System of two equal and opposite charges separated by a small fixed distance is called a dipole.



The total charge of the electric dipole is zero, but this does not means that the field of the electric dipole is zero.

Electric Dipole Moment 

Dipole moment is a measure of the strength of electric dipole. 

Dipole moment is equal to the product of the magnitude of either charge and the distance between them.

It is a vector quantity whose direction is from negative charge to positive charge.

Unit - Coulomb-meter (C-m)

Dimension - [ITL]

Electric Field intensity due to an Electric Dipole 

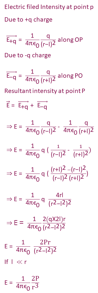
Consider an electric dipole AB whose dipole moment p = q X 2l.

(A) On Axial line 

Let the point P be at distance r from the center of the dipole .

(C) At any Position

Consider a dipole AB whose dipole moment p = q x 2l.Let O be the centre of dipole . We are to find electric field at any point P at a distance r from the centre of the dipole . 








  

'image.png' failed to upload.





Electric Potential 

The electric potential at a point in an electric field is the amount of work done in moving a unit positive charge from infinity to that point against the electrostatics force.

Electric Potential is a scalar quantity.

Unit and Dimension






1 Volt

The electric potential at a point in an electric field is 1V if 1 Joule of work is done in bringing a unit positive charge from infinity to that point against the electrostatics force.


Types of electric potential

According to the nature of charge , potential is of two types

(i) Positive potential : Due to positive charge

(ii) Negative potential : Due to negative charge 


Electric Potential Difference

Electric potential difference between two points in an electric field is the amount of work done in bringing a unit positive charge from one point to another.



It is a scalar quantity.

Its SI unit is Volt.

The potential difference between two points is 1V if 1 joule of work is done in bringing a unit positive charge from the point of lower potential to point of higher potential.

The Electron Volt (eV)

One volt is the amount of energy gained by an electron when accelerated through a potential difference of 1V.

                                    1 eV = 1.6 X 10 -19 J

Electric Potential at a point due to a point charge 

Consider a point charge +q placed at point O in free space. It is desired to find electric potential at P due to charge +q. Let r be the distance of point P from O. i.e OP = r.  

At point A at a distance x from charge q , electric field intensity is 
                                 
small amount of work done in moving unit positive charge from A to B (where AB = dx) is 

                                    w = - Edx
Hence, Total amount of work done in bringing unit positive charge from infinity to r is 
This is by definition electric potential at point P.

Hence, Electric Potential at point P, 
If q is positive, then potential at P is positive. On the other hand, if q is negative, then potential at P is negative.    


Electric Potential at infinity is zero.

Electric Potential due to system of charge

The potential at a point due a number of point charges is the algebraic sum of the potentials at that point due to the individual point charges. 

If we have number of point charges Q1,Q2,Q3…… situated at distance r1,r2,r3………. from  the point P then the total potential at P will be,

Relation between Potential and intensity at a point in an Electric field

Consider two points A and B separated by a very small distance ΔX, in the electric field of a point charge +Q.

Let the potentials at A and B be V and V+ΔV respectively. Then the potential difference between the points A and B is V+ΔV - V = ΔV.
The potential difference is  equal to the amount of work done (ΔW) in bringing a unit positive charge from the point B to A.
i.e,           ΔW = ΔV = - EΔX

where E is the average electric field intensity between the points A and B.

If ΔX → 0 then in the limiting case, the points A and B coincide and we can write, 
The electric field intensity at any point in the electric field is equal to the negative potential gradient at that point. 

Negative sign indicates that in the direction of electric field, potential decreases.

Potential Gradient

In an electric field rate of change of potential with distance is known as potential gradient.

SI unit - V/m

Potential gradient is a vector quantity and it's direction is opposite to that of electric field.

Electric Potential at a point due to electric dipole

(A) On Axial Line 

Consider a dipole AB whose dipole moment P = qX2l placed in air . 
Let the point P be at distance r from the center of the dipole where electric potential is to be find out.







(B) On equatorial line

Consider a dipole AB whose dipole moment P = qX2l placed in air . 
Let the point P on the perpendicular bisector of the dipole axis AB at distance r from its center.

Thus, the electric potential at any point on the perpendicular bisector of the dipole axis is zero.

(C) A point anywhere

Consider a dipole AB whose dipole moment P = qX2l placed in air .
Let P(r,𝝷) be the point at which the electric potential is to be be determined.  
OP = r , ∠BOP = 𝝷

Draw BN perpendicular to OP and AM perpendicular to PO produced.








Equipotential Surface

An equipotential surface is a surface throughout which the electric potential is the same.  

  • The direction of electric field is perpendicular to the equipotential surface.
  • The equipotential surfaces produced by a point charge or a spherical charge distribution are a family of concentric spheres.
  • A metallic surface of any shape is an equipotential surface.
  • Equipotential surfaces can never cross each other.
  • The work done in moving a charge along an equipotential surface is zero. 
Electric Potential due to a Uniformly Charged Hollow Spherical Conductor

Consider a conducting sphere of radius R with charge Q distributed over its surface.

(A) When the Point lies Outside the shell 

(B) When the point lies on the surface of the shell

r = R

(C) When the points lies inside the surface

Electric Field inside a hollow spherical shell is zero.








 






















          

 

 








  
















  





























2 comments: